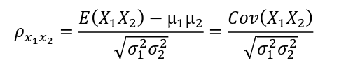
Covariance is related to the correlaton between X1 and X2 Define the corlrelation as −1≤ρx1x2≤1 this is called the pearson corerelation when X1 increases X2 increases when X1 increases X2 decreases