Unit 7.7 of Math 152
Motivating problem: Evaluate
-
No elementary antiderivative
- very hard :(
- but we can approxomate it by doing riemann sums
- Riemann sums are ineffictiant and inaccurate! so we use a new way that is simmilar to mid point rule and riemann sums
-
Trapazoidal rule!
-
- Riemann sums are ineffictiant and inaccurate! so we use a new way that is simmilar to mid point rule and riemann sums
- but we can approxomate it by doing riemann sums
- very hard :(
trapazoidal rule
-
The trapazoidal rule is defined by
- $\int _{a}^{b}f(x)\approx \frac{\Delta x}{2}[f(x_{0})+2f(x_{1})+2f(x_{2})+\dots+2f(x_{n-1})+f(x_{n})] \, dx$ - *where* $\Delta x=\frac{b-a}{n}$ - Its kinda like a sandwhich on the ones that are multiplied by 2 -
Error bounds for Trapezoidal rules
-
What error is definded by is
-
Error bounds is calculated by
-
This only calculates the MAX error not the exact
-
-
Simpsons rule :)
-
The simpsons rule is definded by
-
- Basicly we are just turning the linear function from the trapazoidal rule into a quadratic, kinda like a spline
-
-
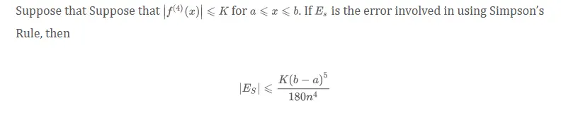
Error bound for simpsons rule
-
Error bounds are calculated by
-

