Part 2 of Unit 7.1 of Math 152
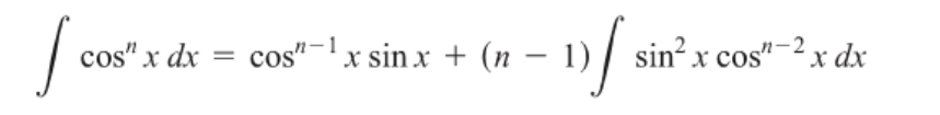
Reduction Formula for
-
Integration by parts often allow us to express the integral as a simpiler one.
-
if the integrand is a power function we can use sometimes integration by parts to reduce the power
-
Reduction Formula for
-
u

